Fique por dentro – Análise Combinatória: um resumo
Acesse também o material de estudo!
Aprenda os principais conceitos de Análise Combinatória com um resumo para gabaritar Raciocínio Lógico e Matemático em concursos.

Olá, pessoal! Tudo bem com vocês?
Quando se trata de Matemática e Raciocínio Lógico, alguns temas causam apreensão nos concurseiros só de ouvirem o nome. A Análise Combinatória costuma estar entre eles, sendo um dos queridinhos de bancas como FGV, CEBRASPE e FCC.
Neste artigo, apresentaremos um resumo objetivo dos principais conceitos e fórmulas da Análise Combinatória, para que você possa revisar a matéria de forma rápida e estratégica.
Confira os tópicos que serão abordados:
- Princípio Fundamental da Contagem;
- Permutação;
- Arranjo;
- Combinação;
- Diferenças entre as fórmulas;
- Dicas práticas para a prova.
Princípio Fundamental da Contagem – um resumo da base da Análise Combinatória
O Princípio Fundamental da Contagem (PFC) é a base de toda a Análise Combinatória. Ele estabelece uma forma simples de contar possibilidades quando temos etapas sucessivas de escolha.
De maneira resumida, se uma ação pode ser realizada de n maneiras e, para cada uma dessas maneiras, uma segunda ação pode ser realizada de m maneiras, então as duas ações juntas podem ser realizadas de n x m maneiras.
Exemplo:
Em um restaurante, o cliente pode escolher 3 tipos de entrada e 2 tipos de prato principal. Aplicando o PFC, temos:
3 x 2 = 6 possibilidades diferentes de refeição
O mesmo raciocínio se estende a várias etapas:
n1 x n2 x n3 x … x nk
Onde ni é a quantidade de opções em cada etapa.
Permutação
Não há como resumir a Análise Combinatória sem falar da Permutação. A Permutação ocorre quando precisamos organizar todos os elementos disponíveis, levando em consideração a ordem. Em outras palavras, é a contagem de quantas maneiras podemos rearranjar um conjunto completo de itens.
a) Permutação Simples
Quando todos os elementos são distintos, a fórmula é:
Pn = n!
O símbolo n! (fatorial) representa o produto de todos os números de 1 até n.
Exemplo:
Em quantas ordens diferentes podem ser organizadas 4 pessoas em uma fila?
P4 = 4! = 4 x 3 x 2 x 1 = 24
b) Permutação com Repetição
Quando há elementos repetidos, a fórmula se torna:

Onde p1, p2, … pk são as quantidades repetidas de cada elemento.
Exemplo:
Quantas anagramas diferentes podem ser formados com as letras da palavra BANANA?
Temos 6 letras, com três letras A repetidas e duas letras N repetidas:

Arranjo
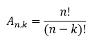
Outro tema fundamental em resumos de Análise Combinatória é o Arranjo. O Arranjo ocorre quando precisamos escolher parte dos elementos disponíveis e organizá-los, considerando a ordem. Diferente da Permutação, aqui não utilizamos todos os elementos do conjunto.
Quando todos os elementos são distintos e não há repetição, utilizamos a fórmula:

Onde:
n é a quantidade total de elementos disponíveis;
k é a quantidade de elementos escolhidos.
Combinação
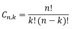
Por fim, mas não menos importante, temos a Combinação. A Combinação ocorre quando precisamos escolher elementos de um conjunto, mas a ordem NÃO importa. Diferente do Arranjo, em que a ordem altera as possibilidades, na Combinação as escolhas não se alteram pela ordem em que escolhemos os elementos.
A fórmula da Combinação é:

Onde:
n é a quantidade total de elementos disponíveis;
k é a quantidade de elementos escolhidos.
Exemplo:
Em uma turma com 5 pessoas, o professor deseja formar grupos de 3 alunos. Quantos grupos diferentes podem ser formados?

Diferenças entre as fórmulas da Análise Combinatória
Um dos pontos que mais geram dúvidas é a diferença entre Permutação, Arranjo e Combinação. Para não errar na prova, na Análise Combinatória, é fundamental compreender e saber resumir os critérios de uso de todos os elementos e importância da ordem:
| Conceito | Usa todos os elementos? | A ordem importa? | Fórmula principal |
| Permutação | Sim | Sim | ![]() |
| Arranjo | Não | Sim | |
| Combinação | Não | Não | |
Dica prática: sempre que houver dúvida, pergunte-se: “estou usando todos os elementos disponíveis?” e “a ordem importa?”.
Dicas práticas para a prova
Ao se deparar com uma questão de Análise Combinatória, você pode seguir alguns passos para decidir qual fórmula utilizar:
- Identifique se a ordem importa: esse é o primeiro passo para decidir entre Arranjo e Combinação.
- Atenção ao uso de todos os elementos: se todos os itens são utilizados, possivelmente é uma Permutação.
- Treine questões de diferentes bancas: cada banca possui sua forma de cobrança.
Finalizando – Análise Combinatória Resumida
A Análise Combinatória é um tema essencial para quem deseja alcançar um bom desempenho em concursos públicos. Dominar conceitos como Princípio Fundamental da Contagem, Permutação, Arranjo e Combinação aumenta significativamente as chances de acerto em questões de Matemática e Raciocínio Lógico.
É importante reforçar que este conteúdo deve ser utilizado como complemento ao material em PDF, onde a abordagem é aprofundada e completa. É fundamental praticar com muitas questões, preferencialmente separadas por banca, para entender as diferentes formas de cobrança.
Quer se aprofundar no tema? O Estratégia Concursos disponibiliza materiais em PDF completos e atualizados, com teoria detalhada, questões comentadas e videoaulas direcionadas para cada concurso. Com prática e um bom material, você estará preparado para resolver qualquer questão de Análise Combinatória que aparecer na sua prova.
Acesse os cursos do Estratégia Concursos e fortaleça sua preparação com um conteúdo de alto nível.
Bons estudos e até a próxima!
Cursos e Assinaturas
Prepare-se com o melhor material e com quem mais aprova em Concursos Públicos em todo o país!
Concursos Abertos
Concursos 2025
Créditos:
Estratégia Concursos



